宏观量子现象如分数量子霍尔效应和整数量子霍尔效应等,是一种在宏观尺度上呈现出的整体量子现象。分数量子霍尔效应的准粒子激发具有分数化电荷,而无相互作用体系(例如整数量子霍尔效应)的量子化现象一般由整数的量子数描述。尽管如此,二维狄拉克费米子作为一种相对论粒子,由于宇称反常,它的霍尔电导是半整数量子化。另一方面,实际材料中狄拉克锥总是成对出现,宇称反常相互抵消。因此,如何在实际体系中直接探测到半整数量子化霍尔电导,不论实验还是理论上一直是非常困难。
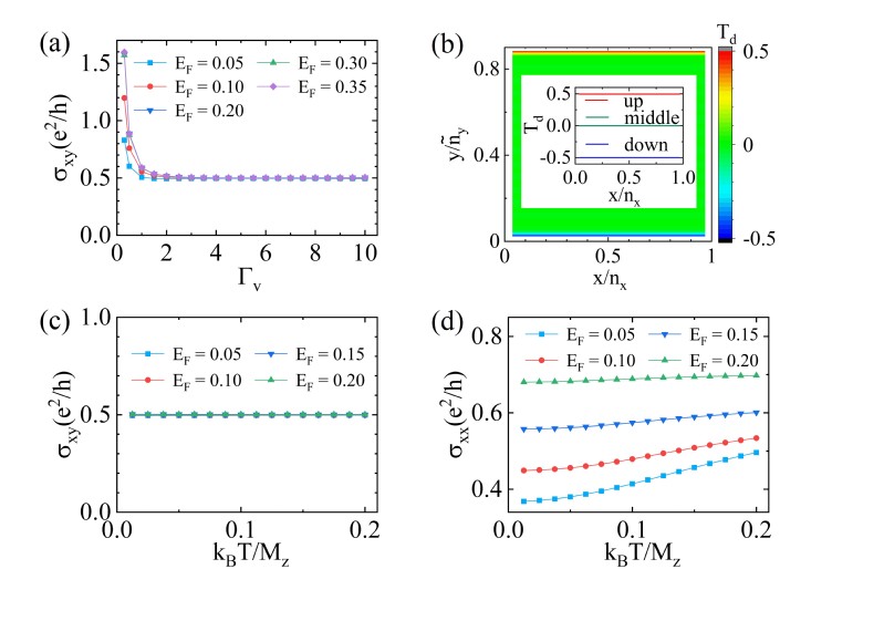
最近,萝莉社 高等研究院陈垂针教授与合作者提出了一种基于半磁性拓扑绝缘体表面狄拉克系统的半量子化霍尔电导的输运理论。从半磁性拓扑绝缘体异质结实验体系出发,他们系统地研究了半磁性拓扑绝缘体表面狄拉克锥的输运性质,揭示退相干强度对实现半量子化霍尔电导的重要性。他们发现有能隙的狄拉克表面边界存在一个一维半量子化的手性通道,并导致了半整数量子化的霍尔电导,而无能隙的狄拉克表面贡献了有限纵向电导。这些结果超越了量子化霍尔电导一般只存在于绝缘相的传统认知,因此超出了传统量子化输运理论的范式。此外,他们给出了电导和电阻随温度变化规律,并与实验结果一致[Nat. Phys. 18, 394 , (2022)]。
相关研究成果以“Transport Theory of Half-quantized Hall Conductance in a Semimagnetic Topological Insulator”为题在线发表于Phys. Rev. Lett. 129, 096601 (2022)。陈垂针和北京大学谢心澄教授为共同通讯作者,北京大学博士生周湖棉为第一作者,其他合作者包括北京大学李海龙博士后和孙庆丰教授以及重庆大学物理学院许东辉副教授。
上述研究工作得到国家重点研发计划、国家重大科学研究计划、国家自然科学基金、中国科学院战略性先导科技专项等及中国科学院拓扑量子计算卓越创新中心支持。
原文链接://journals.aps.org/prl/pdf/10.1103/PhysRevLett.129.096601

题注:图(a)霍尔电导随退相干强度Гv变化曲线。图(b)Td空间分布,Td用于描述半量子化手性通道。
图(c)和(d),霍尔电导和纵向电导随温度变化曲线。
